一、選擇題:1~10小題,每小題4分,共40分.在每個小題給出的四個選項中,只有一項是符合題目要求的,把所選項前的字母填在題后的括號內.
1.
A.2/3 B.1 C.3/2 D.3
答案:C
2.設函數y=2x+sinx,則y/=
A.1-cosx B.1+cosx C.2-cosx D.2+cosx
答案:D
3.設函數y=ex-2,則dy=
A.ex-3dx B.ex-2dx C.ex-1dx D.exdx
答案:B
4.設函數y=(2+x)3,則y/=
A.(2+x)2 B.3(2+x)2 C.(2+x)4 D.3(2+x)4
答案:B
5.設函數y=3x+1,則y/=
A.0 B.1 C.2 D.3
答案:A
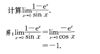
6.
A.ex B.ex-1 C.ex-1 D.ex+1
答案:A
7.
A.2x2+C B.x2+C C.1/2x2+C D.x+C
答案:C
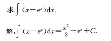
8.![]()

A.1/2 B.1 C.2 D.3
答案:C
9.設函數z=3x2y,則αz/αy=
A.6y B.6xy C.3x D.3X2
答案:D
10.
A.0 B.1 C.2 D.+∞
答案:B
二、填空題:11~20小題,每小題4分,共40分.把答案填在題中橫線上.
11.
答案:e2
12.設函數y=x3,則y/=
答案:3x2
13.設函數y=(x-3)4,則dy=
答案:4(x-3)3dx
14.設函數y=sin(x-2),則y"=
答案:-sin(x-2)
15.
答案:1/2ln|x|+C
16.
答案:0
17.過坐標原點且與直線(x-1)/3=(y+1)/2+(z-3)/-2垂直的平面方程為
答案:3x+2y-2z=0
18.設函數x=3x+y2,則dz=
答案:3dx+2ydy
19.微分方程y/=3x2的通解為y=
答案:x3+C
20. 
答案:2
三、解答題:21-28題,共70分。解答應寫出推理、演算步驟。
21.(本題滿分8分)

22.(本題滿分8分)

23.(本題滿分8分)
求曲線y=x3-3x+5的拐點。
解:y/=3x2-3,y"=6x
令y"=0,解得x=0
當x<0時,y"<0;當x>0時,y">0
當x=0是,y=5
因此,點(0,5)為所給曲線的拐點
24.(本題滿分8分)

25.(本題滿分8分)

26.(本題滿分10分)
設D為曲線y=x2與直線y=x所圍成的有界平面圖形,求D饒x軸旋轉一周所得旋轉體的體積V。

掃一掃加入微信交流群
與考生自由互動、并且能直接與資深老師進行交流、解答。